Mars Express - UW Model Collaboration — 270

Orbit Start Time Perigee Time End Time Summary Sunframe Cyl Sunframe
1892 7/6/05, 9:19 AM 7/6/05, 12:41 PM 7/6/05, 4:02 PM Summary sunframe cyl 1892 sunframe 1892
1899 7/8/05, 8:22 AM 7/8/05, 11:43 AM 7/8/05, 3:05 PM Summary sunframe cyl 1899 sunframe 1899
1903 7/9/05, 11:15 AM 7/9/05, 2:36 PM 7/9/05, 5:58 PM Summary sunframe cyl 1903 sunframe 1903
1914 7/12/05, 1:10 PM 7/12/05, 4:32 PM 7/12/05, 7:53 PM Summary sunframe cyl 1914 sunframe 1914
1921 7/14/05, 12:13 PM 7/14/05, 3:34 PM 7/14/05, 6:56 PM Summary sunframe cyl 1921 sunframe 1921
1925 7/15/05, 3:06 PM 7/15/05, 6:27 PM 7/15/05, 9:49 PM Summary sunframe cyl 1925 sunframe 1925
1932 7/17/05, 2:08 PM 7/17/05, 5:30 PM 7/17/05, 8:51 PM Summary sunframe cyl 1932 sunframe 1932
1936 7/18/05, 5:01 PM 7/18/05, 8:22 PM 7/18/05, 11:44 PM Summary sunframe cyl 1936 sunframe 1936
1947 7/21/05, 6:56 PM 7/21/05, 10:18 PM 7/22/05, 1:39 AM Summary sunframe cyl 1947 sunframe 1947
1954 7/23/05, 5:59 PM 7/23/05, 9:20 PM 7/24/05, 12:42 AM Summary sunframe cyl 1954 sunframe 1954
1958 7/24/05, 8:52 PM 7/25/05, 12:13 AM 7/25/05, 3:35 AM Summary sunframe cyl 1958 sunframe 1958
1965 7/26/05, 7:54 PM 7/26/05, 11:16 PM 7/27/05, 2:37 AM Summary sunframe cyl 1965 sunframe 1965
1969 7/27/05, 10:47 PM 7/28/05, 2:08 AM 7/28/05, 5:30 AM Summary sunframe cyl 1969 sunframe 1969
1976 7/29/05, 9:49 PM 7/30/05, 1:11 AM 7/30/05, 4:32 AM Summary sunframe cyl 1976 sunframe 1976
2145 9/15/05, 5:15 AM 9/15/05, 8:36 AM 9/15/05, 11:58 AM Summary sunframe cyl 2145 sunframe 2145
2149 9/16/05, 8:07 AM 9/16/05, 11:29 AM 9/16/05, 2:50 PM Summary sunframe cyl 2149 sunframe 2149
2160 9/19/05, 10:01 AM 9/19/05, 1:23 PM 9/19/05, 4:44 PM Summary sunframe cyl 2160 sunframe 2160
2163 9/20/05, 6:11 AM 9/20/05, 9:32 AM 9/20/05, 12:54 PM Summary sunframe cyl 2163 sunframe 2163
2167 9/21/05, 9:03 AM 9/21/05, 12:25 PM 9/21/05, 3:46 PM Summary sunframe cyl 2167 sunframe 2167
2178 9/24/05, 10:58 AM 9/24/05, 2:19 PM 9/24/05, 5:41 PM Summary sunframe cyl 2178 sunframe 2178
2182 9/25/05, 1:50 PM 9/25/05, 5:12 PM 9/25/05, 8:34 PM Summary sunframe cyl 2182 sunframe 2182
2185 9/26/05, 10:00 AM 9/26/05, 1:21 PM 9/26/05, 4:43 PM Summary sunframe cyl 2185 sunframe 2185
2200 9/30/05, 2:46 PM 9/30/05, 6:08 PM 9/30/05, 9:29 PM Summary sunframe cyl 2200 sunframe 2200
2207 10/2/05, 1:48 PM 10/2/05, 5:09 PM 10/2/05, 8:31 PM Summary sunframe cyl 2207 sunframe 2207
2226 10/7/05, 9:26 PM 10/8/05, 12:48 AM 10/8/05, 4:09 AM Summary sunframe cyl 2226 sunframe 2226
2229 10/8/05, 5:36 PM 10/8/05, 8:57 PM 10/9/05, 12:19 AM Summary sunframe cyl 2229 sunframe 2229
2233 10/9/05, 8:28 PM 10/9/05, 11:49 PM 10/10/05, 3:11 AM Summary sunframe cyl 2233 sunframe 2233
2237 10/10/05, 11:20 PM 10/11/05, 2:42 AM 10/11/05, 6:03 AM Summary sunframe cyl 2237 sunframe 2237
2244 10/12/05, 10:22 PM 10/13/05, 1:43 AM 10/13/05, 5:05 AM Summary sunframe cyl 2244 sunframe 2244
2262 10/17/05, 11:17 PM 10/18/05, 2:39 AM 10/18/05, 6:00 AM Summary sunframe cyl 2262 sunframe 2262
2266 10/19/05, 2:09 AM 10/19/05, 5:31 AM 10/19/05, 8:52 AM Summary sunframe cyl 2266 sunframe 2266
2270 10/20/05, 5:02 AM 10/20/05, 8:23 AM 10/20/05, 11:45 AM Summary sunframe cyl 2270 sunframe 2270
2277 10/22/05, 4:03 AM 10/22/05, 7:25 AM 10/22/05, 10:46 AM Summary sunframe cyl 2277 sunframe 2277
2306 10/30/05, 6:52 AM 10/30/05, 10:13 AM 10/30/05, 1:35 PM Summary sunframe cyl 2306 sunframe 2306
2350 11/11/05, 2:26 PM 11/11/05, 5:47 PM 11/11/05, 9:09 PM Summary sunframe cyl 2350 sunframe 2350
2358 11/13/05, 8:10 PM 11/13/05, 11:32 PM 11/14/05, 2:53 AM Summary sunframe cyl 2358 sunframe 2358
2373 11/18/05, 12:56 AM 11/18/05, 4:18 AM 11/18/05, 7:39 AM Summary sunframe cyl 2373 sunframe 2373
2387 11/21/05, 10:59 PM 11/22/05, 2:21 AM 11/22/05, 5:42 AM Summary sunframe cyl 2387 sunframe 2387
2391 11/23/05, 1:51 AM 11/23/05, 5:12 AM 11/23/05, 8:34 AM Summary sunframe cyl 2391 sunframe 2391
2395 11/24/05, 4:43 AM 11/24/05, 8:04 AM 11/24/05, 11:25 AM Summary sunframe cyl 2395 sunframe 2395
2398 11/25/05, 12:51 AM 11/25/05, 4:13 AM 11/25/05, 7:34 AM Summary sunframe cyl 2398 sunframe 2398
2402 11/26/05, 3:43 AM 11/26/05, 7:04 AM 11/26/05, 10:26 AM Summary sunframe cyl 2402 sunframe 2402
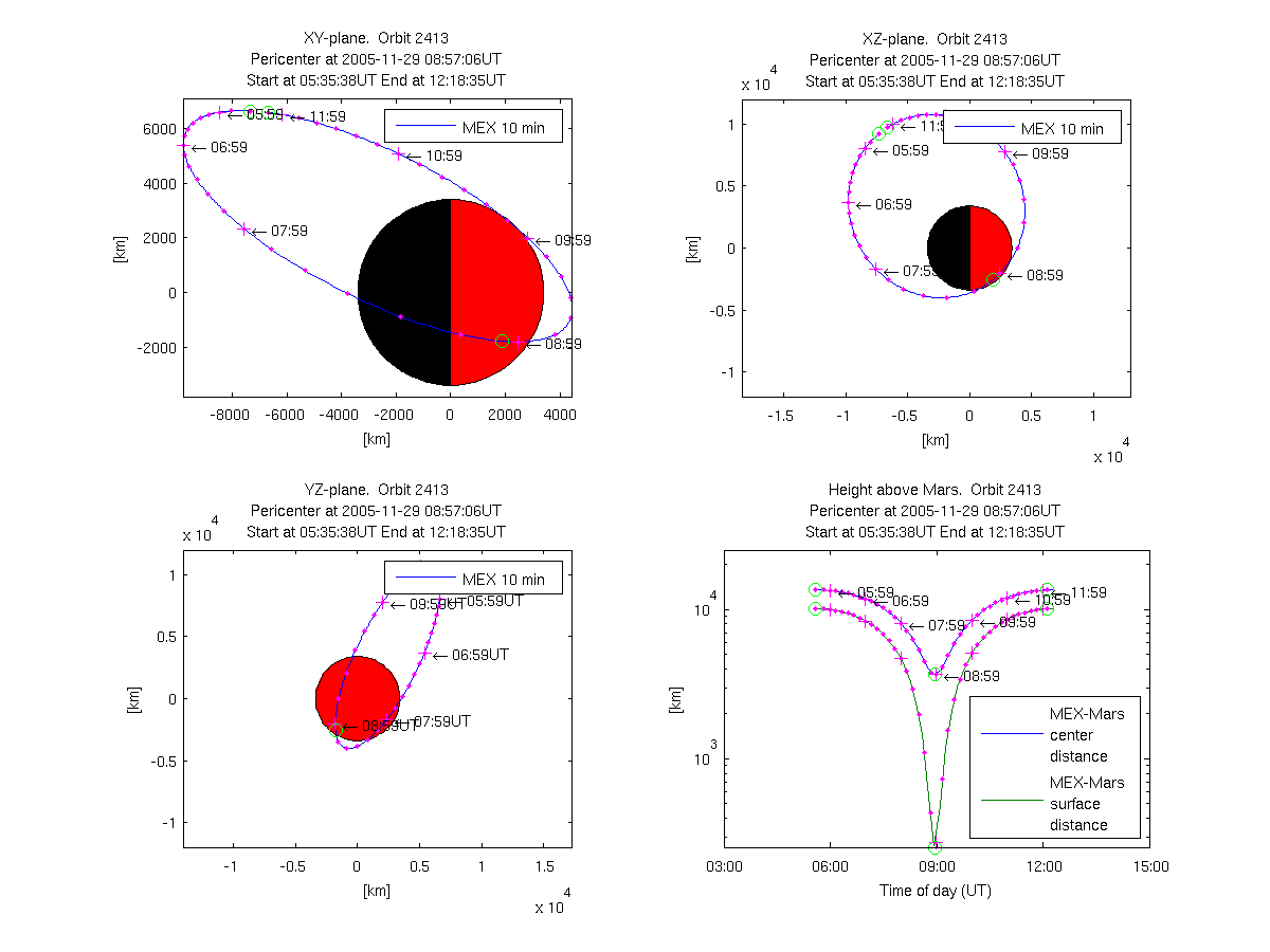
2413 11/29/05, 5:35 AM 11/29/05, 8:57 AM 11/29/05, 12:18 PM Summary sunframe cyl 2413 sunframe 2413
2424 12/2/05, 7:27 AM 12/2/05, 10:49 AM 12/2/05, 2:10 PM Summary sunframe cyl 2424 sunframe 2424
2428 12/3/05, 10:19 AM 12/3/05, 1:41 PM 12/3/05, 5:02 PM Summary sunframe cyl 2428 sunframe 2428
2435 12/5/05, 9:20 AM 12/5/05, 12:41 PM 12/5/05, 4:03 PM Summary sunframe cyl 2435 sunframe 2435
2442 12/7/05, 8:21 AM 12/7/05, 11:42 AM 12/7/05, 3:04 PM Summary sunframe cyl 2442 sunframe 2442
2446 12/8/05, 11:12 AM 12/8/05, 2:34 PM 12/8/05, 5:55 PM Summary sunframe cyl 2446 sunframe 2446
2450 12/9/05, 2:04 PM 12/9/05, 5:26 PM 12/9/05, 8:47 PM Summary sunframe cyl 2450 sunframe 2450
2457 12/11/05, 1:05 PM 12/11/05, 4:27 PM 12/11/05, 7:48 PM Summary sunframe cyl 2457 sunframe 2457
2468 12/14/05, 2:58 PM 12/14/05, 6:20 PM 12/14/05, 9:41 PM Summary sunframe cyl 2468 sunframe 2468
2475 12/16/05, 1:59 PM 12/16/05, 5:21 PM 12/16/05, 8:42 PM Summary sunframe cyl 2475 sunframe 2475
2479 12/17/05, 4:51 PM 12/17/05, 8:13 PM 12/17/05, 11:34 PM Summary sunframe cyl 2479 sunframe 2479
2486 12/19/05, 3:53 PM 12/19/05, 7:14 PM 12/19/05, 10:36 PM Summary sunframe cyl 2486 sunframe 2486
2505 12/24/05, 11:30 PM 12/25/05, 2:52 AM 12/25/05, 6:14 AM Summary sunframe cyl 2505 sunframe 2505
2519 12/28/05, 9:33 PM 12/29/05, 12:55 AM 12/29/05, 4:16 AM Summary sunframe cyl 2519 sunframe 2519
2527 12/31/05, 3:18 AM 12/31/05, 6:39 AM 12/31/05, 10:01 AM Summary sunframe cyl 2527 sunframe 2527
2530 12/31/05, 11:27 PM 1/1/06, 2:49 AM 1/1/06, 6:10 AM Summary sunframe cyl 2530 sunframe 2530
2538 1/3/06, 5:12 AM 1/3/06, 8:33 AM 1/3/06, 11:55 AM Summary sunframe cyl 2538 sunframe 2538
2549 1/6/06, 7:06 AM 1/6/06, 10:27 AM 1/6/06, 1:49 PM Summary sunframe cyl 2549 sunframe 2549
2574 1/13/06, 7:02 AM 1/13/06, 10:24 AM 1/13/06, 1:45 PM Summary sunframe cyl 2574 sunframe 2574
2582 1/15/06, 12:48 PM 1/15/06, 4:09 PM 1/15/06, 7:31 PM Summary sunframe cyl 2582 sunframe 2582
2585 1/16/06, 8:57 AM 1/16/06, 12:19 PM 1/16/06, 3:41 PM Summary sunframe cyl 2585 sunframe 2585
2593 1/18/06, 2:43 PM 1/18/06, 6:04 PM 1/18/06, 9:26 PM Summary sunframe cyl 2593 sunframe 2593
2604 1/21/06, 4:38 PM 1/21/06, 7:59 PM 1/21/06, 11:21 PM Summary sunframe cyl 2604 sunframe 2604
2607 1/22/06, 12:47 PM 1/22/06, 4:09 PM 1/22/06, 7:31 PM Summary sunframe cyl 2607 sunframe 2607
2615 1/24/06, 6:33 PM 1/24/06, 9:54 PM 1/25/06, 1:16 AM Summary sunframe cyl 2615 sunframe 2615
2648 2/3/06, 12:18 AM 2/3/06, 3:40 AM 2/3/06, 7:01 AM Summary sunframe cyl 2648 sunframe 2648
2651 2/3/06, 8:28 PM 2/3/06, 11:49 PM 2/4/06, 3:11 AM Summary sunframe cyl 2651 sunframe 2651
2659 2/6/06, 2:13 AM 2/6/06, 5:35 AM 2/6/06, 8:56 AM Summary sunframe cyl 2659 sunframe 2659
2670 2/9/06, 4:08 AM 2/9/06, 7:30 AM 2/9/06, 10:52 AM Summary sunframe cyl 2670 sunframe 2670
2673 2/10/06, 12:18 AM 2/10/06, 3:40 AM 2/10/06, 7:01 AM Summary sunframe cyl 2673 sunframe 2673
2681 2/12/06, 6:04 AM 2/12/06, 9:26 AM 2/12/06, 12:47 PM Summary sunframe cyl 2681 sunframe 2681
2692 2/15/06, 8:00 AM 2/15/06, 11:21 AM 2/15/06, 2:43 PM Summary sunframe cyl 2692 sunframe 2692
2695 2/16/06, 4:09 AM 2/16/06, 7:31 AM 2/16/06, 10:53 AM Summary sunframe cyl 2695 sunframe 2695
2703 2/18/06, 9:55 AM 2/18/06, 1:17 PM 2/18/06, 4:39 PM Summary sunframe cyl 2703 sunframe 2703
2706 2/19/06, 6:05 AM 2/19/06, 9:27 AM 2/19/06, 12:48 PM Summary sunframe cyl 2706 sunframe 2706
2714 2/21/06, 11:51 AM 2/21/06, 3:13 PM 2/21/06, 6:34 PM Summary sunframe cyl 2714 sunframe 2714
2717 2/22/06, 8:01 AM 2/22/06, 11:23 AM 2/22/06, 2:44 PM Summary sunframe cyl 2717 sunframe 2717
2728 2/25/06, 9:57 AM 2/25/06, 1:19 PM 2/25/06, 4:40 PM Summary sunframe cyl 2728 sunframe 2728
2739 2/28/06, 11:53 AM 2/28/06, 3:15 PM 2/28/06, 6:36 PM Summary sunframe cyl 2739 sunframe 2739
2747 3/2/06, 5:39 PM 3/2/06, 9:01 PM 3/3/06, 12:23 AM Summary sunframe cyl 2747 sunframe 2747
2751 3/3/06, 8:32 PM 3/3/06, 11:54 PM 3/4/06, 3:16 AM Summary sunframe cyl 2751 sunframe 2751
2758 3/5/06, 7:35 PM 3/5/06, 10:57 PM 3/6/06, 2:19 AM Summary sunframe cyl 2758 sunframe 2758
2762 3/6/06, 10:28 PM 3/7/06, 1:50 AM 3/7/06, 5:12 AM Summary sunframe cyl 2762 sunframe 2762
2769 3/8/06, 9:31 PM 3/9/06, 12:53 AM 3/9/06, 4:14 AM Summary sunframe cyl 2769 sunframe 2769
2773 3/10/06, 12:24 AM 3/10/06, 3:46 AM 3/10/06, 7:07 AM Summary sunframe cyl 2773 sunframe 2773
2795 3/16/06, 4:15 AM 3/16/06, 7:37 AM 3/16/06, 10:58 AM Summary sunframe cyl 2795 sunframe 2795
2802 3/18/06, 3:18 AM 3/18/06, 6:39 AM 3/18/06, 10:01 AM Summary sunframe cyl 2802 sunframe 2802
2806 3/19/06, 6:11 AM 3/19/06, 9:32 AM 3/19/06, 12:54 PM Summary sunframe cyl 2806 sunframe 2806
2813 3/21/06, 5:13 AM 3/21/06, 8:35 AM 3/21/06, 11:57 AM Summary sunframe cyl 2813 sunframe 2813
2817 3/22/06, 8:06 AM 3/22/06, 11:28 AM 3/22/06, 2:49 PM Summary sunframe cyl 2817 sunframe 2817
2828 3/25/06, 10:01 AM 3/25/06, 1:23 PM 3/25/06, 4:45 PM Summary sunframe cyl 2828 sunframe 2828
2839 3/28/06, 11:56 AM 3/28/06, 3:18 PM 3/28/06, 6:40 PM Summary sunframe cyl 2839 sunframe 2839
2846 3/30/06, 10:59 AM 3/30/06, 2:20 PM 3/30/06, 5:42 PM Summary sunframe cyl 2846 sunframe 2846
2850 3/31/06, 1:52 PM 3/31/06, 5:13 PM 3/31/06, 8:35 PM Summary sunframe cyl 2850 sunframe 2850
2861 4/3/06, 3:47 PM 4/3/06, 7:08 PM 4/3/06, 10:30 PM Summary sunframe cyl 2861 sunframe 2861
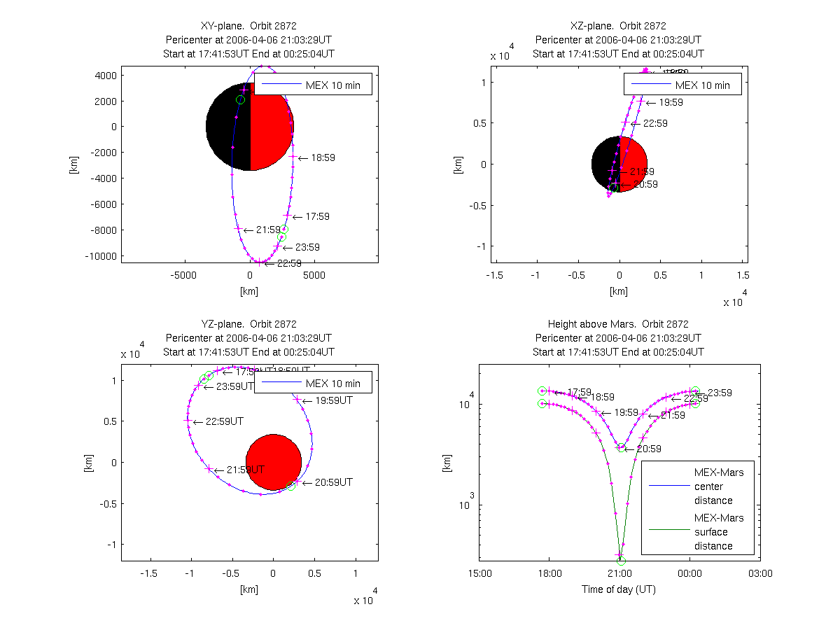
2872 4/6/06, 5:41 PM 4/6/06, 9:03 PM 4/7/06, 12:25 AM Summary sunframe cyl 2872 sunframe 2872
2883 4/9/06, 7:36 PM 4/9/06, 10:58 PM 4/10/06, 2:19 AM Summary sunframe cyl 2883 sunframe 2883
2901 4/14/06, 8:33 PM 4/14/06, 11:55 PM 4/15/06, 3:16 AM Summary sunframe cyl 2901 sunframe 2901
Page 2 of 3  ·  234 of entries